
高压试验中谐振试验原理 谐振试验的原理 如果电感(L)以及电容(C)同时在电路中存在的时,就会产生一种特有的现象,就是谐振电路。谐振电路以电感和电容的串联和并联关系分为串联谐振和并联谐振俩种基本电路,在此基础上能够衍生出多种频率的谐振电路。 在高压试验中,谐振电感元件基本上都是采用充油电抗器,电抗器有其固定的电感值,同时还带有一定的电阻,但通常情况下这种自带的电阻与其工频感抗相比很小,几乎可以忽略不计。在现场试验中,测试对象由于交流作用大多都显示为容性设备,从而构成谐振回路中的负载电容,所以利用电源的调频或调幅特性使电路发生谐振,从而达到大电压或电流试验的需求。 谐振回路的阻抗特性从回路集中参数的分布情况能够得知(见图1),当电路的某个频率点的阻抗模达到一定程度时,就会产生谐振现象。其谐振点频率、回路容性电流以及试品消耗的无功计算方式为:
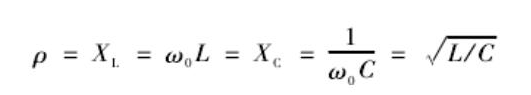
谐振电路的特征阻抗为:
谐振阻抗的大小不受电源的影响,而是与电路集中参数有关系。谐振电路中品质因数定义:谐振电路中品质因数定义。
所以能够得到串联谐振试验品的耐受电压以及并联谐振电路试验品的耐受电流。从实际情况来看,试验品俩端的电压或者电流要远远高于电源电压,甚至可以达到几十倍,所以通常会用电压谐振和电流谐振来称呼串联谐振和并联谐振。然而无论是哪种谐振,都要满足wL=1/wC,在高压试验中,如果要实现谐振,通常是通过改变电感、电容或者电源频率来进行。
国电西高:http://www.hvhipot.cn/ 公司热线:400-8818-755 |
| 关于我们 | 法律申明 | 常见问题 | 联系我们 | 网站统计 | 售后服务 | ||
| 版权所有:武汉国电西高电气有限公司 | |||||||
工信部备案号:鄂ICP备07003820号-6 鄂公网安备 42011202001459号
|
|||||||
| 公司地址:武汉市东西湖区金银潭现代企业城B区7栋 邮编:430040 | |||||||
| 电话:027-65605916 | |||||||
| 邮箱地址:whgdxgs@163.com | |||||||
|
|
|||||||